Personalized surgical management of esophagogastric junction cancers: retrospective cohort study at a Canadian institution
Introduction
Esophageal cancer is one of the world’s most prevalent and lethal malignancies; it has an incidence of 455,800 cases worldwide with a mortality of 400,200 patients per year (1). The cornerstone of treatment for esophageal cancers is surgical management and multiple approaches have been advocated for esophagectomy (2-5). Siewert classification is commonly used to categorize tumors of the esophagogastric junction (EGJ) based on their location (3,5,6). At many institutions, Siewert I and II tumors are commonly managed by thoracic surgeons using IL while Siewert III tumors are resected using TA by general surgeons with the common goal of achieving complete oncological (R0) resection and adequate lymph node (LN) yield rather than employing one standardized approach for all patients.
Due to the advantages associated with minimally invasive surgery, radical minimally invasive esophagectomy (MIE) is gaining popularity and many centers advocate for one standardized approach (7-9). However, a steep learning curve ranging from 25 to 178 cases has been observed during the adoption of MIE (10). In addition, when MIE was implemented by surgeons outside high-volume centers, it was associated with an increase in total and pulmonary complications and reoperation rate (11). Despite improvements in survival for patients with locoregional disease due to extended oncological resection, the optimal procedure is still controversial (1,12). Furthermore, other factors such as exact tumor location, stage, patients’ general condition and extent of LN dissection should be considered while choosing the type of surgery, especially in the early stages of MIE adoption (5,13-15). This study will allow surgeons to customize surgical approach for EGJ cancer patients of all Siewert classifications, based on patient and tumor characteristics, to ensure high rates of curative resection, adequate lymph node retrieval and optimal quality of life (QoL), which is not well described in current literature.
The aim of this study was therefore to compare surgical and oncological outcomes for different surgical approaches that are commonly used to resect EGJ tumors to provide guidance for a personalized approach towards the resection of EGJ tumors during the implementation phase of MIE. Our goal was to demonstrate that a strategy of tailoring the operative approach to patient and tumor characteristics would result in similar oncological outcomes by using data from a high-volume cancer center in Canada. We present the following article in accordance with the STROBE reporting checklist (available at http://dx.doi.org/10.21037/aoe-20-50).
Methods
Data sources
Patients who underwent surgery for EGJ tumors from January 2010 to December 2018 were identified from a prospectively collected database in the Division of Thoracic and Upper Gastrointestinal Surgery. Data were retrieved from physical and electronic medical records. The study was conducted in accordance with the Declaration of Helsinki (as revised in 2013). Ethics approval was obtained from the Research Ethics Board of McGill University Health Centre for a retrospective cohort study (file # 2020-5850).
Study subjects
This cohort study included the records of all patients who underwent curative-intent surgeries for EGJ cancers (stage I-IVA) at the McGill University Health Centre from January 2010 to December 2018 (Figure S1). As such, an a priori sample size was not calculated. Palliative (stage IVB), prophylactic and benign resections were excluded. Informed consent was provided by all patients prior to surgery. Patients were followed for 5 years post-operatively at Montreal General Hospital and Hull Hospital in Quebec, Canada.
Exposures
Four surgical approaches (including both open and minimally invasive procedures) were compared for different types of EGJ malignancies. All approaches consisted of en bloc esophagectomy (resection of the esophagus and its corresponding lymph nodes from pleura to pleura and spine to mediastinum including the thoracic duct but not the azygous vein). Ivor Lewis (IL) consisted of open (right thoracotomy and midline laparotomy) and hybrid (laparoscopic-assisted or thoracoscopic-assisted) approaches while transabdominal (TA) involved surgery in the abdomen and lower mediastinum without requiring a thoracotomy. Left thoracoabdominal (LTA) comprised of an oblique incision from the left thorax to the abdomen. MIE involved thoracoscopy and laparoscopy with or without a cervical neck dissection and an accessory incision (fourth interspace midaxillary line) for hand sewn anastomosis and specimen extraction. MIE was slowly introduced in 2010 with the majority of cases being from the last 3 years of the study.
A suitable approach was selected for each patient after discussing their case at a multidisciplinary tumor board: early in experience, MIE was opted for small tumors and those who could not tolerate open surgery. IL was preferred for Siewert I and II tumors. TA was preferred for Siewert II tumors in patients that were too frail to tolerate thoracotomy. An LTA approach was preferred for bulky, distal tumors with extensive lymphadenopathy. Patients with locally advanced cancer received DCF or FLOT in the peri-operative setting (16,17).
Post-operative care for all patients was undertaken by the dedicated Thoracic and Upper Gastrointestinal Surgery multidisciplinary care team (including specialized surgeons, nurses, dieticians, and other support personnel) in accordance with the standardized enhanced recovery after surgery pathway developed by a dedicated committee at the McGill University Health Centre (18).
Outcomes
Patient and tumor characteristics, operative details, surgical and oncologic outcomes, and QoL were assessed. Charlson comorbidity index (CCI) was utilized to categorize age and comorbidities on day of surgery (19). American Joint Committee on Cancer (AJCC) eighth edition was used for clinical and pathological staging (20). Siewert classification was determined endoscopically and confirmed pathologically after resection using the tumor’s epicenter relative to the EGJ on pathological specimen. Operative time was calculated using the start and end time of procedure, from first incision to closure of the last incision. Post-operative morbidity and mortality were classified using the Clavien-Dindo (CD) score at 30-day postoperatively (21). Recurrence was evaluated using CT scans (head, chest, abdomen, pelvis), upper endoscopy with biopsy, and bone scan (Table S1). Overall survival (OS) was determined using dates of death, diagnosis, and last follow-up. Disease-free survival (DFS) was calculated using the dates of recurrence, surgery, and last follow-up. Functional Assessment of Cancer Therapy-Esophageal (FACT-E) questionnaires administered at every appointment were used to determine QoL where 176 is the maximum possible total score (22).
Statistical analysis
Data are presented as mean ± standard deviation (SD) or median and interquartile range (in parentheses) for continuous variables and proportions for categorical variables. Statistical analysis was conducted using R v.3.4.1 (The R Core Team, 2018) and GraphPad Prism v8.0.2. Continuous variables were analyzed using multiple-way ANOVA for parametric variables or pairwise Wilcoxon rank-sum tests for non-parametric variables. Categorical data were analyzed using χ2 or Fisher-Exact tests. In all appropriate cases, multiple comparison adjustments were performed using Tukey post-hoc tests. Survival analyses were conducted through Cox Mantel log-rank tests. Missing data for the analyzed variables ranged from 0–8%. Since this was less than 10%, multiple imputation of the data was not performed and the missing observations were excluded from analysis. A P value of less than 0.05 determined statistical significance.
Results
Characteristics of the 203 study subjects are presented in Table 1. Eighty percent were male with a male preponderance in all study groups. Patients who underwent IL had fewer comorbidities than those in LTA, MIE, or TA groups. TA patients were significantly older than patients in the other groups. Body mass index was not significantly different among groups. MIE and TA were opted for early stage cancers, particularly in the early phase of MIE adoption. Adenocarcinoma was prevalent in all groups with a comparable histological distribution among groups. Neoadjuvant chemotherapy was preferentially given based on stage. Median follow-up time was 3 years (1–5 years).
Full table
Figure 1 shows that LTA and TA were predominantly used for Siewert II and III tumors while IL and MIE approaches were utilized for Siewert I and II tumors (P<0.001). Tumor size was non-significantly different in LTA, IL, or TA approaches, while MIE removed tumors were significantly smaller (P=0.002). Tumors resected using MIE and TA had a lower pathological stage (45% and 46% stage I, respectively) compared to LTA and IL (52% and 48% stage III, respectively, P<0.001). Lymph node retrieval was adequate in all groups, but significantly lower LN yield was observed in MIE. The overall number of positive LNs and rates of lymphovascular and perineural invasion were non significantly different among groups. Table 2 depicts the tumor characteristics of patients in each group.
Full table
Complete oncological (R0) resection was not significantly different among groups. Overall, it was attained in 197 (97%) of 203 curative-intent en bloc esophagectomies (Table 3). Operative time from lowest to highest was the following: TA, LTA, IL, and MIE [173 minutes (126–184 minutes), 180 minutes (156–200 minutes), 230 minutes (210–259 minutes) and 275 minutes (240–302 minutes), respectively, P<0.001]. Overall, lymphadenectomy was adequate (94% D2 and 1% D3, P=0.1) and blood loss [350 mL (250–500 mL), P=0.2] was non–significantly different among groups. Post-operative complications, length of stay [overall 7 days (6–11 days), P=0.7], emergency room visits, and readmissions did not differ significantly between approaches.
Full table
QoL scores from FACT-E questionnaires administered at baseline, pre-operatively and at 1-, 3- and 12-month post-operatively are shown in Table 4. The minimally invasive approach had a significantly higher QoL at three months, but QoL measures were similar across all groups by 1-year post-operatively.
Full table
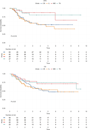
DFS was significantly higher (P=0.02) for MIE (HR 0.32, 95% CI: 0.10–0.58, P=0.04) and TA (HR 0.31, 95% CI: 0.11–0.49, P=0.02) compared to LTA. No significant differences were found between IL and LTA (HR 1.09, 95% CI: 0.74–1.87, P=0.8) (Figure 2). OS depicted in Figure 2 followed the same trend but was not significant (P=0.2). Multivariable analysis controlling for age and tumor stage showed comparable OS for all surgical techniques (P=0.6) and no significant differences between younger vs. older patients (P=0.8) or early vs. advanced disease (P=0.1). For DFS, while no significant differences were found for age (P=0.7) or surgical technique (P=0.3), early disease showed significantly higher survival rates (P=0.03) (Figure 3).
Discussion
This study shows comparable surgical and oncological outcomes associated with four approaches for resecting EGJ malignancies during the adoption of minimally invasive en bloc esophagectomy. Radiation was rarely utilized and radical locoregional lymphadenectomy was thus employed for obtaining adequate LN retrieval and high R0 resection rate. Minimally invasive en bloc esophagectomy was ideal for stage I tumors primarily and for older patients with more severe comorbidities while the open approaches were preferred for healthier and younger patients and locally advanced cancers. IL and MIE were employed for Siewert I and II tumors while LTA and TA were preferred for Siewert III tumors. However, tumor size was an important consideration as well; MIE was preferred for small tumors during its adoption, whereas the other three approaches were employed for larger tumors. When surgical approach was personalized in this fashion, surgical quality was excellent among all groups (97% R0 resections) during the adoption of MIE. DFS and OS were similar for all approaches when compared by stage (early and locally advanced cancer). Our finds are significant as learning curve is a barrier for widespread adoption of MIE, so the personalized approach highlighted in this study can help provide excellent surgical quality for all types of EGJ malignancies during the MIE learning curve.
Approach to EGJ malignancies is controversial. Hulscher and van Lanschot suggested that distal esophageal carcinoma (Siewert I) should preferably be resected via a transthoracic resection (IL) with two-field LN dissection while a tumor of the EGJ (Siewert II) or gastric cardia (Siewert III) should be removed via a transhiatal resection (TA) (23). Zhang et al. and Zhou et al. showed that TA for Siewert II and III has a better prognosis than IL (24,25). These are in keeping with our study where IL was employed for Siewert I and II tumors and TA was opted for Siewert II and III tumors. Forshaw et al. suggested that LTA is feasible for locally advanced Siewert III tumors and Nakamura et al. showed that LTA was more commonly used for larger diameter tumors, both of which were confirmed by our results (26,27). The largest multicenter study that compared LTA and IL showed better short-term outcomes for LTA and equivalent oncological outcomes between both approaches, which aligns with our results (28). Earlier tumor stage was prevalent in MIE in Ding et al.’s study as depicted in our results (2). Khan et al. compared MIE to IL, which showed fewer complications in the MIE group (29). This is inconsistent with our findings where complications did not vary by approach, which is likely a result of having highly experienced surgeons in our institution. When the TIME trial was implemented nationally in the Netherlands, MIE was associated with more complications and a higher reoperation rate (11). This was attributed to nonexpert surgeons performing MIE outside of high-volume centers (11). However, our results are in keeping with Blom et al.’s study that showed comparable complications for open and MIE (30). To minimize surgical morbidity during the implementation phase of MIE, MIE should be tailored for patients with smaller tumors. Lymph node yield for MIE was lower but adequate compared to open approaches in our study since MIE was primarily used for early stage cancers, which are known to have a low rate of metastasis (31). The learning curve associated with the adoption of MIE could have impacted the LN yield as well for MIE. This result is consistent with Ding et al. who showed a lower LN yield for MIE compared to IL (2). Among open approaches, Kauppila et al. showed comparable LN yield for TA and IL as seen in our study (32). Our overall mortality rate of 3% is lower than most studies (range, 2–23%) since we are a high-volume cancer center with surgeons experienced in minimally invasive surgery (4,15,23,26,33). Our personalized approach mirrors other studies that showed comparable short-term outcomes for open and minimally invasive surgery when MIE was utilized for smaller tumors during the adoption of MIE.
Long-term survival based on surgical approach has shown inconsistent findings. Goan et al. showed comparable survival for transhiatal and transthoracic approaches, which aligns with our TA and IL groups’ OS (4). Furthermore, Straatman et al. depicted comparable OS for MIE versus open esophagectomies as shown in our study (8). However, our 66% 5-year OS is higher than that seen in other centers (15.2% to 43.5%) likely due to earlier diagnosis and taxane-based triplet therapy (4,33,34). Our DFS being shorter for approaches that were used for more advanced disease (IL and LTA) is corroborated by Goan et al. who showed that the median survival time is lower for patients with advanced disease than those with earlier disease (4). Our study confirms these findings by showing comparable OS and DFS for all approaches once stratified by clinical stage (early and locally advanced cancer). This also provides an explanation for our MIE group having higher survival as that group consisted of patients with lower stage cancers.
QoL has been shown to vary by tumor stage rather than the approach itself. Patients with more advanced disease stage tend to have more tumor-associated symptoms that impair their QoL (14). Since our MIE group consisted of more early stage cancers, it is understandable that MIE had higher QoL scores three months post-operatively. In addition, self-rating of functional scales can take six to nine months to improve (14). Consequently, improvement in QoL scores one year post-operatively for all groups is as expected.
Our study compared four approaches, both open and minimally invasive en bloc esophagectomy, for radical surgical management of EGJ malignancies during the implementation phase of MIE. This allowed us to provide a tailored surgical approach for surgical management of EGJ tumors while surgeons gain expertise performing MIEs for a wide range of EGJ tumors. Even though it is a single-institution study, it was performed at a high-volume center in Canada where we have data from multiple surgeons with extensive training and experience. Selection bias is present since each approach was carefully selected for every patient by their treating team. However, this allowed us to analyze their clinical decision making to devise a tailored approach for management of EGJ malignancies during the MIE learning curve. Even though sample distribution was not even among groups, our study is a valuable addition to current literature nonetheless since we were able to compare both open and minimally invasive approaches in parallel during the implementation of minimally invasive en bloc esophagectomy to show that we can provide excellent surgical quality with a tailored approach to en bloc esophagectomy while optimizing QoL, surgical and oncological outcomes while developing expertise with MIE. Prospective studies using our suggestions for patients with EGJ malignancies will aid in reinforcing these results.
Conclusions
In conclusion, we found that a personalized approach for radical surgical management of EGJ malignancies is feasible and results in optimal surgical and oncological outcomes while providing adequate QoL during MIE adoption. Surgeons who have developed a wide range of expertise with en bloc esophagectomy for all types of EGJ tumors can continue utilizing MIE to improve outcomes. For those who are developing MIE experience, minimally invasive approaches are ideal for smaller, early stage cancers (T1–2, N0) in older patients with more severe comorbidities while open approaches are more appropriate for large, locally advanced (T3–4, any N+) EGJ tumors and younger, healthier patients. IL en bloc esophagectomy is preferred for Siewert I and II tumors while LTA and TA are suggested for Siewert III tumors. The approach taken at this single-center retrospective cohort study resulted in high quality surgery and excellent short- and long-term outcomes while improving MIE exposure to surpass the MIE learning curve safely.
Acknowledgments
We would like to thank Samantha Lancione and Sabrina Sacco for administering quality of life questionnaires and Ludovic Aubin for compiling complications from patients.
Funding: None.
Footnote
Reporting Checklist: The authors have completed the STROBE reporting checklist. Available at http://dx.doi.org/10.21037/aoe-20-50
Data Sharing Statement: Available at http://dx.doi.org/10.21037/aoe-20-50
Conflicts of Interest: All authors have completed the ICMJE uniform disclosure form (available at http://dx.doi.org/10.21037/aoe-20-50). The authors have no conflicts of interest to declare.
Ethical Statement: The authors are accountable for all aspects of the work in ensuring that questions related to the accuracy or integrity of any part of the work are appropriately investigated and resolved. The study was conducted in accordance with the Declaration of Helsinki (as revised in 2013). This study was approved by the Research Ethics Board of McGill University Health Centre (file #2020-5850). Informed consent was provided by all patients.
Open Access Statement: This is an Open Access article distributed in accordance with the Creative Commons Attribution-NonCommercial-NoDerivs 4.0 International License (CC BY-NC-ND 4.0), which permits the non-commercial replication and distribution of the article with the strict proviso that no changes or edits are made and the original work is properly cited (including links to both the formal publication through the relevant DOI and the license). See: https://creativecommons.org/licenses/by-nc-nd/4.0/.
References
- van Rijswijk AS, Hagens ERC, van der Peet DL, et al. Differences in Esophageal Cancer Surgery in Terms of Surgical Approach and Extent of Lymphadenectomy: Findings of an International Survey. Ann Surg Oncol 2019;26:2063-72. [Crossref] [PubMed]
- Ding Q, Zhou W, Xue Y, et al. Comparison of postoperative complications between different operation methods for esophageal cancer. Thorac Cancer 2019;10:1669-72. [Crossref] [PubMed]
- Hu C, Zhu HT, Xu ZY, et al. Novel abdominal approach for dissection of advanced type II/III adenocarcinoma of the esophagogastric junction: a new surgical option. J Int Med Res 2019;47:398-410. [Crossref] [PubMed]
- Goan YG, Chang HC, Hsu HK, et al. An audit of surgical outcomes of esophageal squamous cell carcinoma. Eur J Cardiothorac Surg 2007;31:536-44. [Crossref] [PubMed]
- Hashimoto T, Kurokawa Y, Mori M, et al. Surgical Treatment of Gastroesophageal Junction Cancer. J Gastric Cancer 2018;18:209-17. [Crossref] [PubMed]
- Siewert JR, Stein HJ. Classification of adenocarcinoma of the oesophagogastric junction. Br J Surg 1998;85:1457-9. [Crossref] [PubMed]
- Zhao Y, Zhang J, Yang D, et al. Feasibility of laparoscopic total gastrectomy for advanced Siewert type and type esophagogastric junction carcinoma: A propensity score-matched case-control study. Asian J Surg 2019;42:805-13. [Crossref] [PubMed]
- Straatman J, van der Wielen N, Cuesta MA, et al. Minimally Invasive Versus Open Esophageal Resection: Three-year Follow-up of the Previously Reported Randomized Controlled Trial: the TIME Trial. Ann Surg 2017;266:232-6. [Crossref] [PubMed]
- Linder G, Jestin C, Sundbom M, et al. Safe Introduction of Minimally Invasive Esophagectomy at a Medium Volume Center. Scand J Surg 2020;109:121-6. [Crossref] [PubMed]
- Claassen L, van Workum F, Rosman C. Learning curve and postoperative outcomes of minimally invasive esophagectomy. J Thorac Dis 2019;11:S777-85. [Crossref] [PubMed]
- Markar SR, Ni M, Gisbertz SS, et al. Implementation of Minimally Invasive Esophagectomy From a Randomized Controlled Trial Setting to National Practice. J Clin Oncol 2020;38:2130-9. [Crossref] [PubMed]
- Munitiz V, Ortiz A, Ruiz de Angulo D, et al. Results of the different surgical options for the treatment of cancer of the esophagogastric junction: Review of the evidence. Cir Esp 2019;97:445-50. [Crossref] [PubMed]
- Curtis NJ, Noble F, Bailey IS, et al. The relevance of the Siewert classification in the era of multimodal therapy for adenocarcinoma of the gastro-oesophageal junction. J Surg Oncol 2014;109:202-7. [Crossref] [PubMed]
- Reed CE. Surgical management of esophageal carcinoma. Oncologist 1999;4:95-105. [Crossref] [PubMed]
- Steup WH, De Leyn P, Deneffe G, et al. Tumors of the esophagogastric junction. Long-term survival in relation to the pattern of lymph node metastasis and a critical analysis of the accuracy or inaccuracy of pTNM classification. J Thorac Cardiovasc Surg 1996;111:85-94. [Crossref] [PubMed]
- Treese C, Harloff H, Daum S. FLOT becomes standard neoadjuvant chemotherapy for adenocarcinoma of the esophagogastric junction and stomach. Z Gastroenterol 2017;55:881-2. [PubMed]
- Reece-Smith AM, Saunders JH, Soomro IN, et al. Postoperative survival following perioperative MAGIC versus neoadjuvant OE02-type chemotherapy in oesophageal adenocarcinoma. Ann R Coll Surg Engl 2017;99:378-84. [Crossref] [PubMed]
- McGill University Health Centre and Ferri LE. A Guide to Esophageal Surgery: MUHC Patient Education Office, 2014. Available online: http://www.muhcpatienteducation.ca/pdf-guide.html?guideID=158
- Charlson ME, Pompei P, Ales KL, et al. A new method of classifying prognostic comorbidity in longitudinal studies: development and validation. J Chronic Dis 1987;40:373-83. [Crossref] [PubMed]
- Rice TW, Patil DT, Blackstone EH. 8th edition AJCC/UICC staging of cancers of the esophagus and esophagogastric junction: application to clinical practice. Ann Cardiothorac Sur 2017;6:119-30.
- Katayama H, Kurokawa Y, Nakamura K, et al. Extended Clavien-Dindo classification of surgical complications: Japan Clinical Oncology Group postoperative complications criteria. Surg Today 2016;46:668-85. [Crossref] [PubMed]
- Darling G, Eton DT, Sulman J, et al. Validation of the functional assessment of cancer therapy esophageal cancer subscale. Cancer 2006;107:854-63. [Crossref] [PubMed]
- Hulscher JB, van Lanschot JJ. Individualised surgical treatment of patients with an adenocarcinoma of the distal oesophagus or gastro-oesophageal junction. Dig Surg 2005;22:130-4. [Crossref] [PubMed]
- Zhang W, Chen X, Liu K, et al. Comparison of survival outcomes between transthoracic and transabdominal surgical approaches in patients with Siewert-II/III esophagogastric junction adenocarcinoma: a single-institution retrospective cohort study. Chin J Cancer Res 2016;28:413-22. [Crossref] [PubMed]
- Zhou J, Wang H, Niu Z, et al. Comparisons of Clinical Outcomes and Prognoses in Patients With Gastroesophageal Junction Adenocarcinoma, by Transthoracic and Transabdominal Hiatal Approaches: A Teaching Hospital Retrospective Cohort Study. Medicine (Baltimore) 2015;94:e2277 [Crossref] [PubMed]
- Forshaw MJ, Gossage JA, Ockrim J, et al. Left thoracoabdominal esophagogastrectomy: still a valid operation for carcinoma of the distal esophagus and esophagogastric junction. Dis Esophagus 2006;19:340-5. [Crossref] [PubMed]
- Nakamura T, Oguma H, Sasagawa T, et al. Left thoracoabdominal approach for adenocarcinoma of the esophagogastric junction. Hepatogastroenterology 2008;55:1332-7. [PubMed]
- Davies AR, Zylstra J, Baker CR, et al. A comparison of the left thoracoabdominal and Ivor-Lewis esophagectomy. Dis Esophagus 2018;31. [Crossref] [PubMed]
- Khan O, Nizar S, Vasilikostas G, et al. Minimally invasive versus open oesophagectomy for patients with oesophageal cancer: a multicentre, open-label, randomised controlled trial. J Thorac Dis 2012;4:465-6. [PubMed]
- Blom RL, Klinkenbijl JH, Hollmann MW, et al. Results of the introduction of a minimally invasive esophagectomy program in a tertiary referral center. J Thorac Dis 2012;4:467-73. [PubMed]
- Li SC, Zang L. Siewert type II adenocarcinoma of esophagogastric junction: treatment status. Mini-invasive Surg 2019;3:15. [Crossref]
- Kauppila JH, Wahlin K, Lagergren J. Gastrectomy compared to oesophagectomy for Siewert II and III gastro-oesophageal junctional cancer in relation to resection margins, lymphadenectomy and survival. Sci Rep 2017;7:17783. [Crossref] [PubMed]
- Liu JF, Wang QZ, Hou J. Surgical treatment for cancer of the oesophagus and gastric cardia in Hebei, China. Br J Surg 2004;91:90-8. [Crossref] [PubMed]
- Yang ZF, Wu DQ, Wang JJ, et al. Surgical approach for Siewert type II adenocarcinoma of the esophagogastric junction: transthoracic or transabdominal? -a single-center retrospective study. Ann Transl Med 2018;6:450. [Crossref] [PubMed]
Cite this article as: Kammili A, Ramirez-GarciaLuna JL, Mueller CL, Spicer J, Ferri LE, Cools-Lartigue J. Personalized surgical management of esophagogastric junction cancers: retrospective cohort study at a Canadian institution. Ann Esophagus 2021;4:24.




